草莓视频色情,草莓IOS视最新版下载,污污草莓视频网,草莓视频成人APP下载

    您好!欢迎光临 草莓视频色情电气(中国)有限公司

    MDS51系列智能V锥流量计

    Madshen草莓视频色情智能V锥流量传感器改变传统的流体向中心收缩而压损大的缺点,而是轴对称的边壁收缩方式下的逐渐收缩和逐渐扩散。这是一次节流装置的节流、收缩的全新变革,在节流装置结构设计上是一次重大的突
    产品简介

     

    Madshen草莓视频色情 V锥流量传感器改变传统的流体向中心收缩而压损大的缺点,而是轴对称的边壁收缩方式下的逐渐收缩和逐渐扩散。这是一次节流装置的节流、收缩的全新变革,在节流装置结构设计上是一次重大的突破。不仅解决了老式差压流量计所存在的技术缺陷,而且具有其他测量原理的流量传感器计所不具备的优点。

     

    V形锥体和导流管是预先经过精密加工好的,流体在流经V锥体时,V锥体的结构和形状使得流体在收缩前有一个平滑的过度区,流体并不是被迫收缩到管道中心线附近,而是逐渐朝向管内边壁收缩,在前后两端会产生差压,配上相应的差压变送器和附件(三组阀、取压阀等)组成V锥流量计,从而测量出流量。

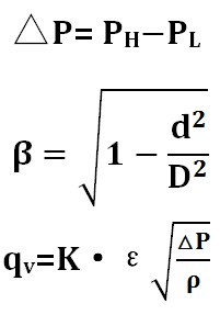
    流量公式:

    其中:

    —等效直径比

    ρ—流体工况条件下的密度

    D—管道内径

    K—K系数(与节流件形式(流束收缩系数)直径比,取压方式,雷诺数及管道粗糙度有关

    d—V锥节流件的最大横截面处的直径

    qv—体积流量

    ε—气体膨胀系数(对于不可压缩液体ε=1)

     

    1、公称通径:DN15~DN2000

    2、公称压力:0~40MPa

    3、精度:准确度等级为0.5%(差压变送器的准确度应高于0.2级,含0.2级)

    4、重复性:优于0.1%

    5、介质温度范围:可以实现-40~700℃的介质的流量测量

    6、量程比通常为10:1

    7、压损小:同样的β值,永久压力损失是孔板压力损失的1/3~1/5

    8、测量流体:几乎适用于所用蒸汽、气体、液体介质的测量

    9、前后直管段:3D(前),1D(后),方管V锥流量计无需前后直管段

    11、结构材料材质:

     部件名称 材质
    测量管和法兰304不锈钢、20#碳钢、其他
    V锥体和连接附件304不锈钢,
    取压口304不锈钢
    三阀组(附件、可选)304不锈钢
    引压管(附件、可选)304不锈钢
    冷凝罐(附件、可选)304不锈钢
    排污阀(附件、可选)304不锈钢

     

     部件名称 材质
    测量管和法兰304不锈钢、20#碳钢、其他
    V锥体和连接附件304不锈钢,
    取压口304不锈钢
    三阀组(附件、可选)304不锈钢
    引压管(附件、可选)304不锈钢
    冷凝罐(附件、可选)304不锈钢
    排污阀(附件、可选)304不锈钢

    12、外表涂层: 

     传感器测量管材质 外表涂层
    全不锈钢304喷不锈钢砂
    测量管为碳钢银灰色环氧树脂漆

    13、防爆等级(差压变送器):隔爆、本安、不防爆可供选择(差压变送器

    14、供电电源(差压变送器):12~24VDC,

    15、输出信号(差压变送器):4~20mA或HART协议

    16、显示及输出:

    差压变送器现场显示
    配多参数变送器瞬时流量 累积流量
    差压变送器与差压范围相对应的差压值

     

     MDS51  V锥流量传感器选型表

     

    MDS 51

    V锥流量传感器

    过程连接

    A

    法兰式

    B

    直接焊接式

    C

    方管式

    D

    其它形式,订货时说明

    传感器口径

    15

    DN15

    25

    DN25

    50

    DN50

    65

    DN65

    80

    DN80

    100

    DN100

    —

    ——

    材       质

    A

    整体304

    B

    管道,法兰为碳钢,锥体为304.

    C

    整体316

    D

    其它材质

    额定压力

    6

    额定压力0.6MPa

    10

    额定压力1.0MPa

    16

    额定压力1.6MPa

    25

    额定压力2.5MPa

    40

    额定压力4.0MPa

    —

    ——

    420

    额定压力42MPa

    取压口形式

    S

    承插口

    G

    锥管螺纹1/2”NPT或ZG1/2”

    F

    法兰取压

    R

    其它

    密封面形式

    RF

    突面密封

    MF

    凹凸面密封

    TG

    榫槽面密封

    RJ

    环连接面密封

    Q

    其它方法

    连接附件

    C

    常温

    H

    高温

    W

    赃污

    Z

    其它

    法兰标准

    GB

    国标

    HG

    化工部标准

    JB

    原机械部标准

    ASME

    美标

    Q

    其它标准

     

    浏览:
    相关内容:
    上一篇:
    下一篇:MDS51系列智能V锥流量计
    返回顶部

    分享到:

    网站地图